下圖Figure 1是學電子學放大器電路一定會看到的共源極common-source放大器(省略了部分偏壓電路),大部分RF射頻放大器也都是共源極(or common emitter)的結構,電子學講義第一步會分析偏壓點,然後用小訊號模型開始分析ac gain,整個過程你也不需要知道什麼是反射係數,S parameter的一些微波工程裡面講到的東西,就可以理解這個電路的工作原理。
| Figure 1 |
下圖Figure 2為小訊號模型,一般RGS會非常大,所以輸入的訊號Vin會直接等於vgs,然後被放大,那這個時候我們需要輸入匹配電路嗎? 訊號直接灌到gate不就好了,匹配後電壓還少了一半...........
| Figure 2 |
如果像我這種電子學沒念好,微波工程又一知半解就會覺得有些地方說不清楚,微波工程的觀念說如果沒有作conjugate matching是沒辦法取得最大的gain (S21),但figure 3電子學電路看起來,RS一般為50ohm,我們假設RGS是RS 10倍大也就是500歐姆好了,不匹配直接接到gate端,這樣vgs = 500/(50+500)*VS = 0.91VS, 幾乎等於全部的VS, 但這樣反射係數S11 = -1.7dB幾乎全反射,這樣拿的到好的Gain/S21?
但如果加了一個匹配電路把輸入阻抗匹配到RS,沒有全反射會有全部的功率輸入會得到最大的功率轉移,但電壓振福Voltage Swing不就變小了嗎0.5*VS? 共源極放大器不是要讓vgs voltage swing最大嗎?
| Figure 3 |
Figure 4為負載為500ohm,這結果就是分壓定律計算的結果,V2會等於0.9V1的voltage swing在R2上面,到這裡應該沒有什麼問題。
| Figure 4 |
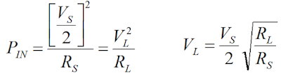
我們在上面的電路增加一個簡單的匹配電路L Type LC Matching Network如Figure 5所示,這邊VS為1GHz所以簡單計算一下所需要的電容C1=0.96pF, L1=24nH,我們再觀察一下這時候V2的電壓會等於0.5*VS,如同先前推想,但是R2上面的電壓會變成1.6*VS,Voltage Swing大於VS本身,套句我尊敬的前輩的口頭禪,這怎麼可能?
| Figure 5 |
但這其實一切都符合電路原理,回想一下微波工程在講匹配的目的是什麼? 最大功率轉移,這邊都在講功率Power而不是講電壓Voltage或電流Current,但如果我們負載的阻抗已經確定了,最大的功率轉移就會等於最大電壓轉移在Real Part負載上面,也就是在經過匹配網路後,V2看入的節點往內看的確滿足最大功率轉移,而且匹配網路加上負載本身因為只有Real Part會消耗功率,所以R2上面的V3 Voltage Swing要滿足功率守恆,所以負載上面的電壓經過匹配網路後會大於VS的原因。
其實講了這麼多,最後會發現如果要取得最大的Gain還是需要阻抗匹配,Figure 1這個單向性小訊號分析unilateral small signal network model,S11等於-1.7dB,輸入阻抗為500ohm,所以conjugate matching就是要把500ohm匹配到50ohm。
經過匹配後Voltage Swing會從0.91*VS變成1.6*VS,會相差4.8dB,最後會發現整個理論其實是相通的,這個例子有匹配與沒匹配會多出4.8dB的Gain。
只是工程上用不同方向看問題,類似Frequency Domain和Time Domain一樣,如果你跟我一樣電子學沒有學得很好,微波電路卡住的時候要偶而回頭看一下電子電路學等源頭的學科,我想當初寫微波工程這些教科書的人本身基礎學科一定都很強,所以在寫微波工程他並沒有感到什麼問題。
PS. 現在網路上很多免費的工具可以用,協助檢驗答案有沒有錯誤,上面的模擬軟體為Qucs Quite Universal Circuit Simulator,有興趣可以點進去看看。
